吨袋规格型号你了解多少
根据日前国家吨袋质量检测制定的新标准:GB/T 10454-2000,也就是集装袋质量检测标准,对以前的吨袋标准:GB/T 10454-1989进行了一定的修订!
常见吨袋尺寸标准与容量比
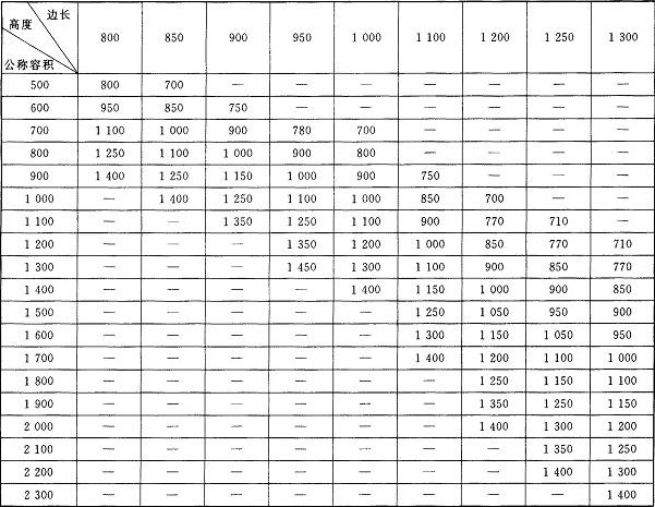
以下这两张吨袋(集装袋)尺寸标准表是完全按最最新国标设定尺寸:
圆形吨袋(集装袋)尺寸表1(单位:mm)

方形吨袋(集装袋)尺寸表2(单位:mm)

正规国标吨袋尺寸公差
根据国家质量检测标准,吨袋“集装袋”尺寸公关必需在以下范围内:
圆形集装袋尺寸公差——直径为士200,高为士3000
方形集装袋尺寸公差——边长为士20o,高为士30o0


